• Предмет: Алгебра
  • Автор: borisovaleksei2040
  • Вопрос задан 3 года назад

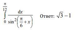
напишите полное решение, пожалуйста.

Приложения:

Ответы

Ответ дал: natalyabryukhova
1

Ответ:

=================================

Объяснение:

Приложения:
Вас заинтересует