Ответы
Ответ дал:
0
Ответ:
Смотри решение на фото
Объяснение:
Надеюсь на лучший ответ
Приложения:

Ответ дал:
0
Ответ:
Объяснение:
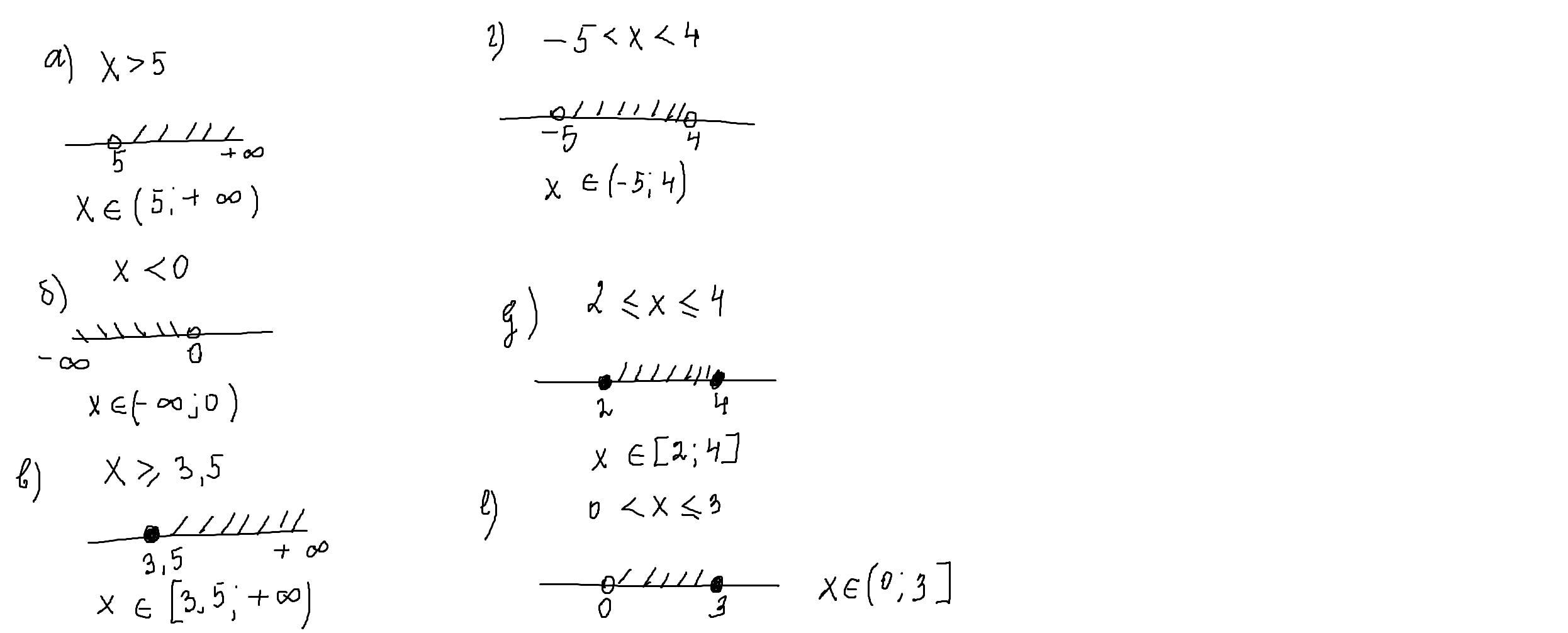
рисунок смотри внизу.когда неравенство строгое( < >)то скобки круглые и точки не закрашены,там "прокол".,а если не строгое(≤ ≥) то скобки квадратные и точка закрашена.Где знак бесконечность(±∞) скобка всегда круглая.
Приложения:

Вас заинтересует
2 года назад
2 года назад
2 года назад
7 лет назад
7 лет назад
9 лет назад
9 лет назад