Cколько существует натуральных чисел удовлетворяющих неравенству?
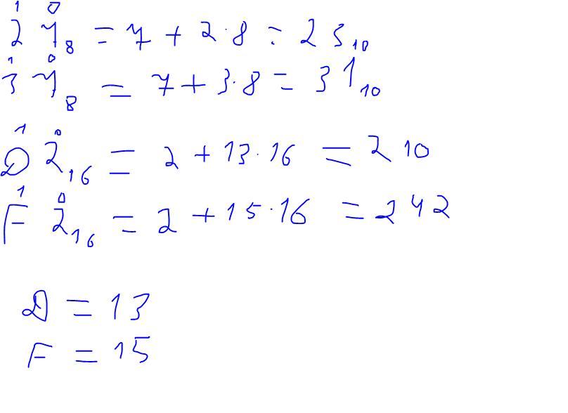
27₈ < X < 37₈ —
D2₁₆ < X < F2₁₆ —
Ответы
Ответ дал:
6
Ответ:
переведем в десятичную систему счисления
получается: 24, 25, 26, 27, 28, 29, 30
Ответ: 7
Считаем: 241-210-1 = 30
Ответ: 30
Чтобы перевести из любой системы в десятичную надо:
1. дать всем числа порядок от 0.. начиная с последней цифры
2. затем умножаем число на СС в степени порядка, и так с каждый числом и потом все плюсуем
Приложения:

Вас заинтересует
2 года назад
2 года назад
2 года назад
2 года назад
7 лет назад
9 лет назад
9 лет назад