Ответы
Ответ дал:
1
Ответ:
Объяснение:
.........................................................................
Приложения:

Ответ дал:
3
Объяснение:
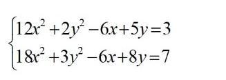
Решенре на фотографии............
Приложения:

Вас заинтересует
2 года назад
2 года назад
2 года назад
9 лет назад