Ответы
Ответ дал:
2
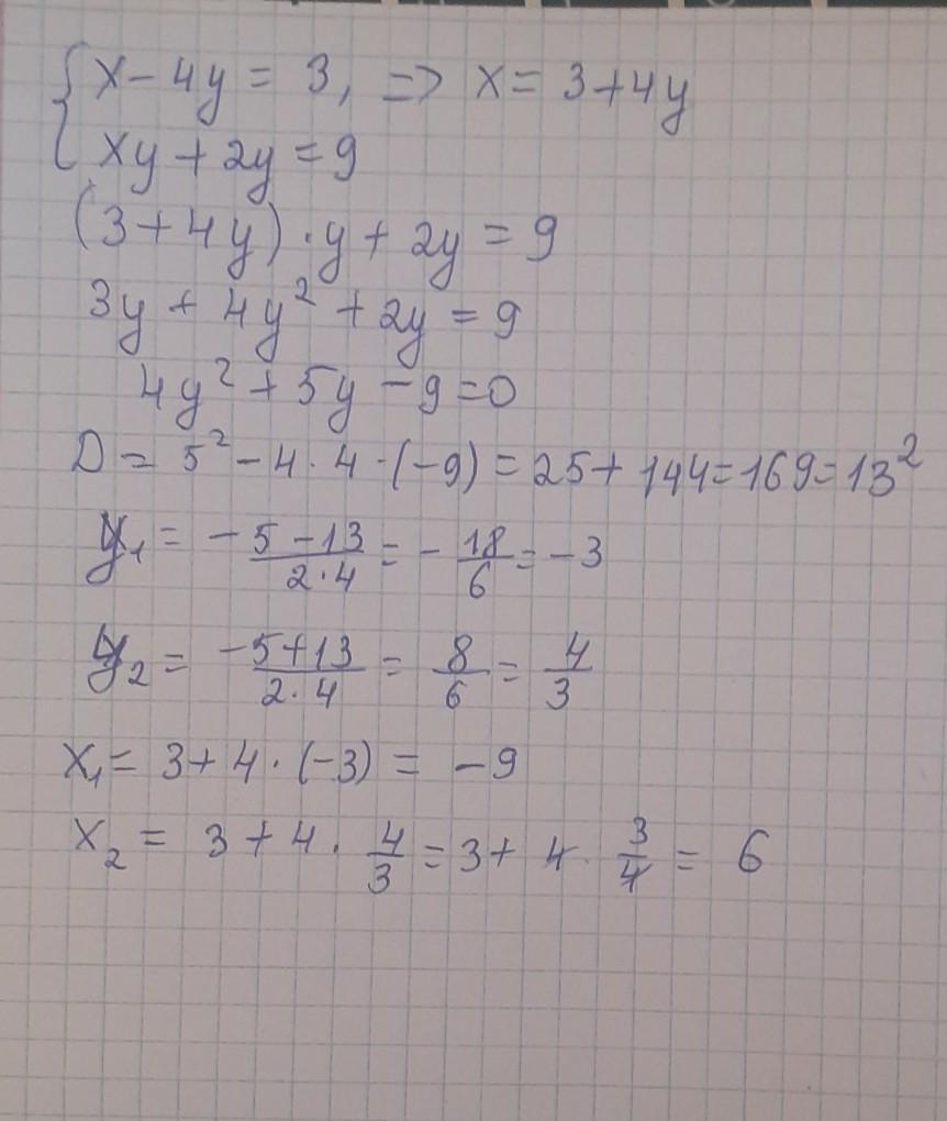
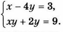
hctxtcjvvttdyguhhdyfyguvufycycxtdyccyy
Приложения:

Аноним:
спасибо большое)
Вас заинтересует
2 года назад
2 года назад
2 года назад
2 года назад
7 лет назад
9 лет назад
9 лет назад