• Предмет: Алгебра
  • Автор: anastasiycos20
  • Вопрос задан 3 года назад

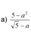
сократи дроби
50 баллов срочно

Приложения:

Ответы

Ответ дал: Aspirant2022
1

Ответ:

Смотри решение

Объяснение:

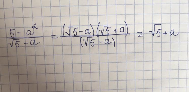
\frac{5-a^2}{\sqrt{5}-a}\\\frac{(\sqrt{5}-a)(\sqrt{5}+a)}{\sqrt{5}-a}\\\sqrt{5}+a


Аноним: не описайся там
Ответ дал: Alice277353
2
Все на фото. Числитель раскладываем на множители, сокращаем знаменатель с одним из множителей, получаем ответ
Приложения:
Вас заинтересует