• Предмет: Математика
  • Автор: Yana321813
  • Вопрос задан 11 лет назад

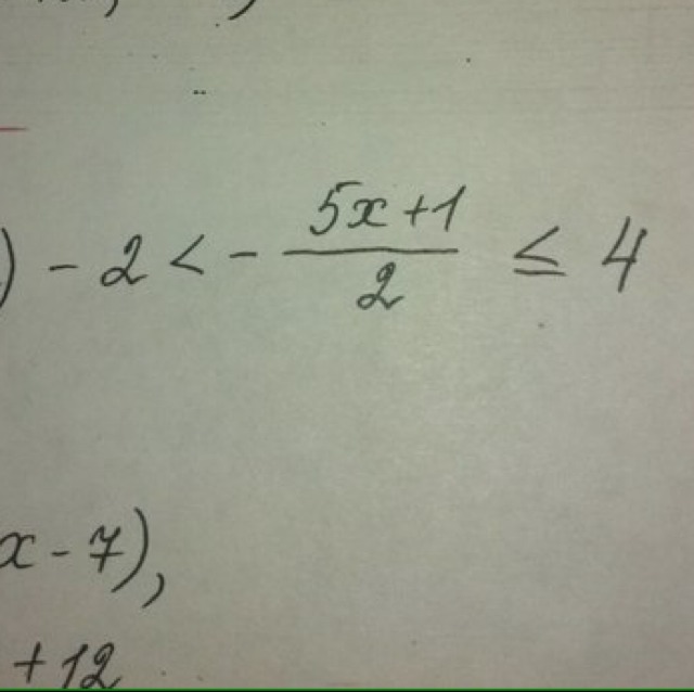
Как это решить?ахахмлажыжащжчлчждссш

Приложения:

Ответы

Ответ дал: Санечка69
0
Домножим все части неравенства на -2, чтобы избавиться от знаменателя и минуса перед дробью, при этом знак неравенства измениться на противоположный:
4>5x+1>=-8,
-8<=5x+1<4,
-9<=5x<3,
-1,8<=x<0,6,
х∈[-1,8; 0,6)
Вас заинтересует