• Предмет: Математика
  • Автор: Lilia1991
  • Вопрос задан 3 года назад

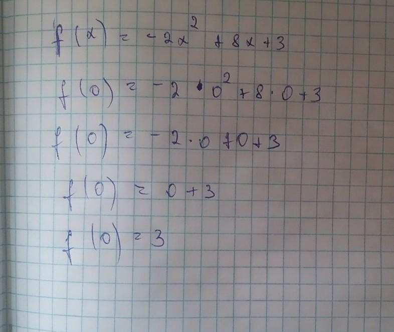
Помогите пожалуйста решить... Определить области значений функции f(x)= -2x^2+8x+3.

Ответы

Ответ дал: Abdujalilchik
1

вот решил, если не трудно отметь пожалуйста лучшим ответом;)

Приложения:
Вас заинтересует