• Предмет: Алгебра
  • Автор: ajax1332
  • Вопрос задан 3 года назад

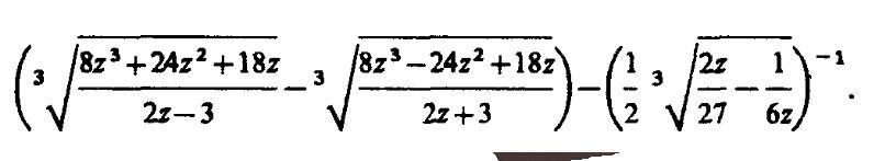
Упростить выражение:
Может так?!

Приложения:

Ответы

Ответ дал: rumanezzo
0

Ответ:

Действительно 0

Объяснение:

Приложения:

rumanezzo: 3 строка - знаменатель одинаковым стал, но он не общий - формально это ошибка (записи). Дальше все поправляется, но осадочек остался)
rumanezzo: Во 2м действии неаккуратное (избыточное) приведение к ОЗ
rumanezzo: я бы назвал твое решение правильным, но с серьезными дефектами записи
rumanezzo: надеюсь понятно объяснил)
ajax1332: Это уже придирки, а придраться, как известно, к чему угодно можно. В знаменателе у меня получается то самое значение: 4z^2 - 9 разве нет....
rumanezzo: неверным ваше решение называл не я, а ошибочные записи, даже если все в конечном все получилось как надо, с формальной точки зрения, является ошибкой
rumanezzo: Короче, морально настраивайтесь сдавать ЕГЭ)
rumanezzo: Мое итоговое резюме - решение верно, в записи - недочеты (и это, к сожалению, не придирки...
ajax1332: Серьёзные ошибки в записи или в самом решении?! Про запись, ну, возможно, а, если подправить во второй строке, там где я привожу к общему знаменателю, и в знаменателе записать 4z^2 - 9 или (2z + 3)(2z - 3), тогда запись окажется верной и придирок станет меньше?)
rumanezzo: Как по мне, то так)
Вас заинтересует