• Предмет: Алгебра
  • Автор: Аноним
  • Вопрос задан 3 года назад

Ученик загадал два числа. Сумма кубов двух чисел ровна 7. Разность этих чисел ровна -3. Какие числа загадал ученик. Срочно пожалуйста! Очень прошу.


GluV: -1 и 2
Аноним: Можно с решением пожалуйста
GluV: Решил методом подбора
Аноним: Можно полностью, или хотя бы как это пишется функцией пожалуйста

Ответы

Ответ дал: GluV
1

Ответ:

(-1;2)

Объяснение:

x-y=-3\\x^{3}+y^{3}=7

x^{3}+y^{3} =(x+y)(x^{2}-xy+y^{2})=1*7=7

Решение ищем среди целых чисел

Рассматриваем случай x+y=7\\ x-y=-3

Тогда x=2\\ y=5\\2^{3}+5^{3} \neq 7

Рассматриваем случай x+y=1\\x-y=-3

x=-1\\y=2\\(-1)^{3}+(2)^3=-1+8=7

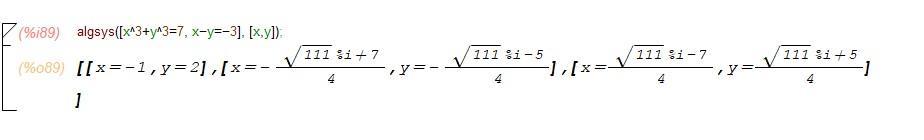
Решим систему уравнений с помощью Maxima. Программа нашла решение (-1;2)  и еще два комплексных решения.

Приложения:
Вас заинтересует