• Предмет: Алгебра
  • Автор: leerasrrya
  • Вопрос задан 3 года назад

помогите пожалуйста ​

Приложения:

katy770: какие нужно решить?

Ответы

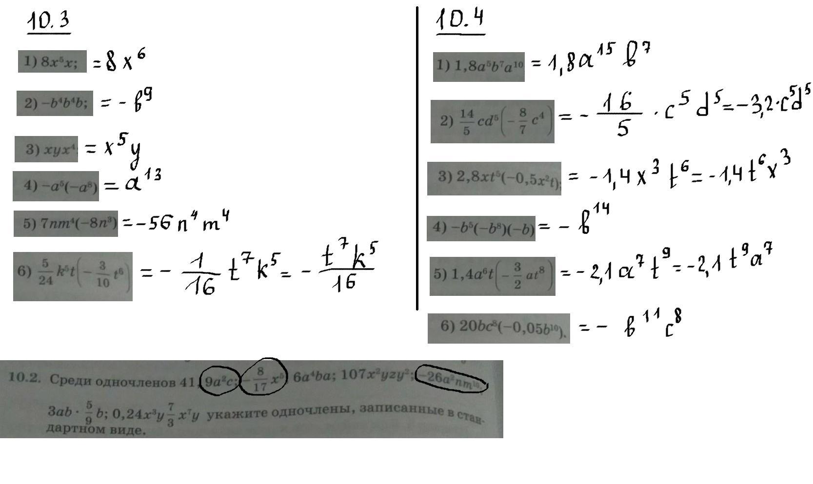
Ответ дал: katy770
0

Ответ:

Привет)

Решение во вложении, будут вопросы, задавай)

Если не сложно, отметь пожалуйста как лучший ответ))

Объяснение:

Приложения:
Вас заинтересует