Ответы
Ответ дал:
0
Дано:
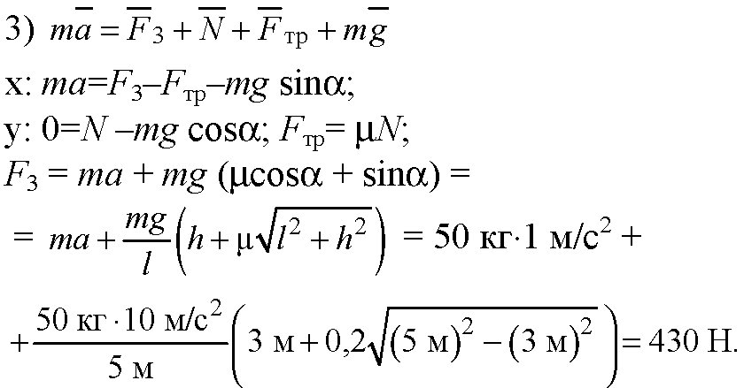
l = 5 м;
h = 3 м;
m = 50 кг;
a = 1 м/с2;
μ = 0,2.
Найти F1, F2, F3.
Ответ: F1 = 220 Н, F2 = 380 Н, F3 = 430 Н.
l = 5 м;
h = 3 м;
m = 50 кг;
a = 1 м/с2;
μ = 0,2.
Найти F1, F2, F3.
Ответ: F1 = 220 Н, F2 = 380 Н, F3 = 430 Н.
Приложения:
Вас заинтересует
3 года назад
8 лет назад
8 лет назад
11 лет назад
11 лет назад