Ответы
Ответ дал:
1
Ответ:
Привет)
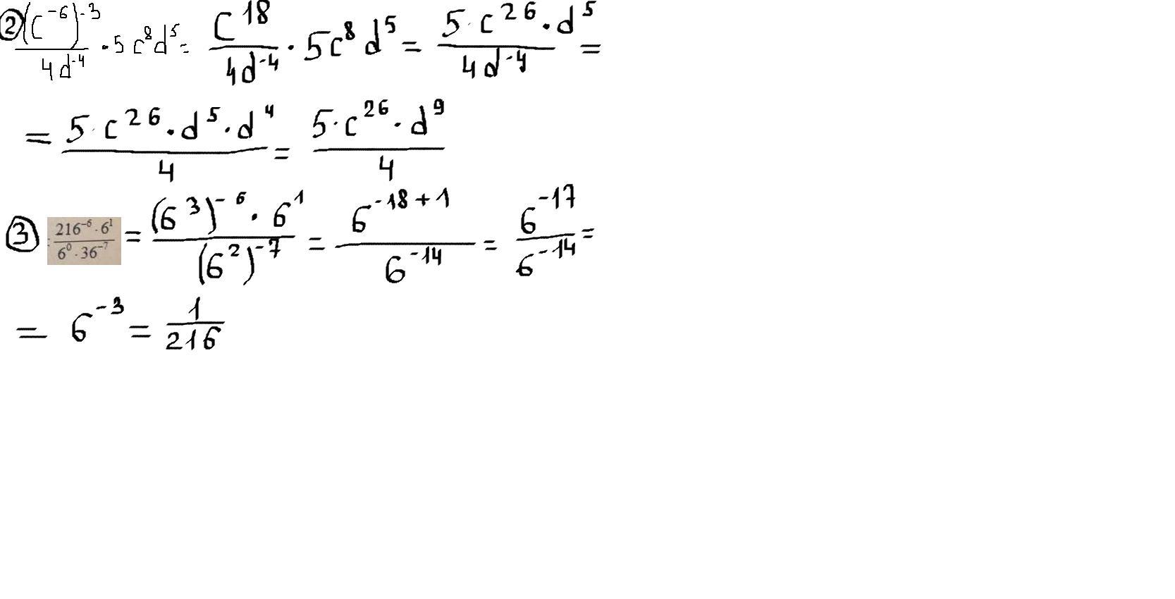
Решение во вложении, будут вопросы, задавай)
Если не сложно, отметь пожалуйста как лучший ответ))
Объяснение:
Приложения:

ammunator:
Благодарю
Вас заинтересует
2 года назад
2 года назад
2 года назад
7 лет назад
7 лет назад
9 лет назад