Ответы
Ответ дал:
0
Ответ:
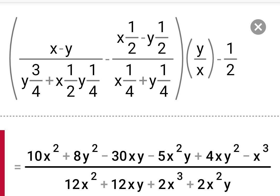
......
......
..................
Приложения:




Вас заинтересует
2 года назад
2 года назад
2 года назад
7 лет назад
7 лет назад
9 лет назад