Ответы
Ответ дал:
0
Ответ:
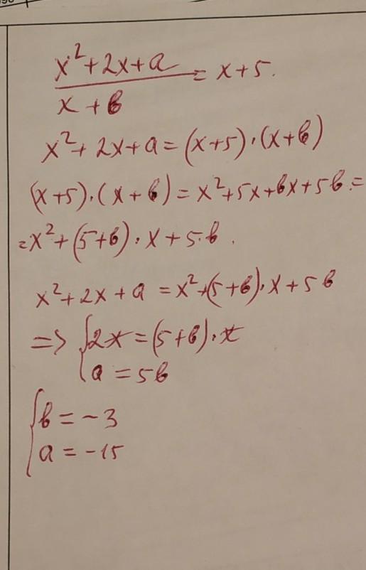
a= -15
b = -3
Объяснение:
решение во вложении
Приложения:

Вас заинтересует
2 года назад
7 лет назад