• Предмет: Алгебра
  • Автор: naaatsumi
  • Вопрос задан 3 года назад

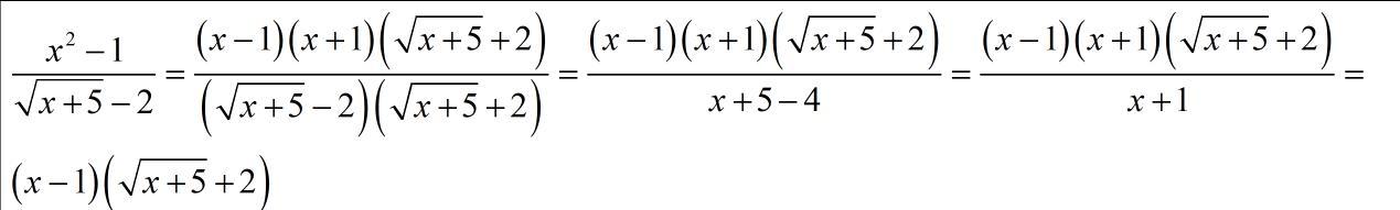
Освободи от иррациональности знаменатель дроби:

Приложения:

naaatsumi: (x-1)(√x+5+2) овтет

Ответы

Ответ дал: palilov243659
0

Ответ:

Объяснение:

надо числитель и знаменатель умножить на сопряженное знаменателю выражение

Приложения:
Вас заинтересует