чему равна сумма 1+2+3+4+5+6+7...+997+998+999 с решением
даю 15 балов
parus77:
1+2+3+4+5+6+7...+997+998+999=(1+999)+(2+998)+(3+997)+....+(499+501)+500=1000+1000+1000+...+1000+500=1000*499+500=499500
Ответы
Ответ дал:
1
Ответ:
499500
Пошаговое объяснение:
1+2+3+4+5+6+7...+997+998+999=(1+999)+(2+998)+(3+997)+....+(499+501)+500=1000+1000+1000+...+1000+500=1000*499+500=499500
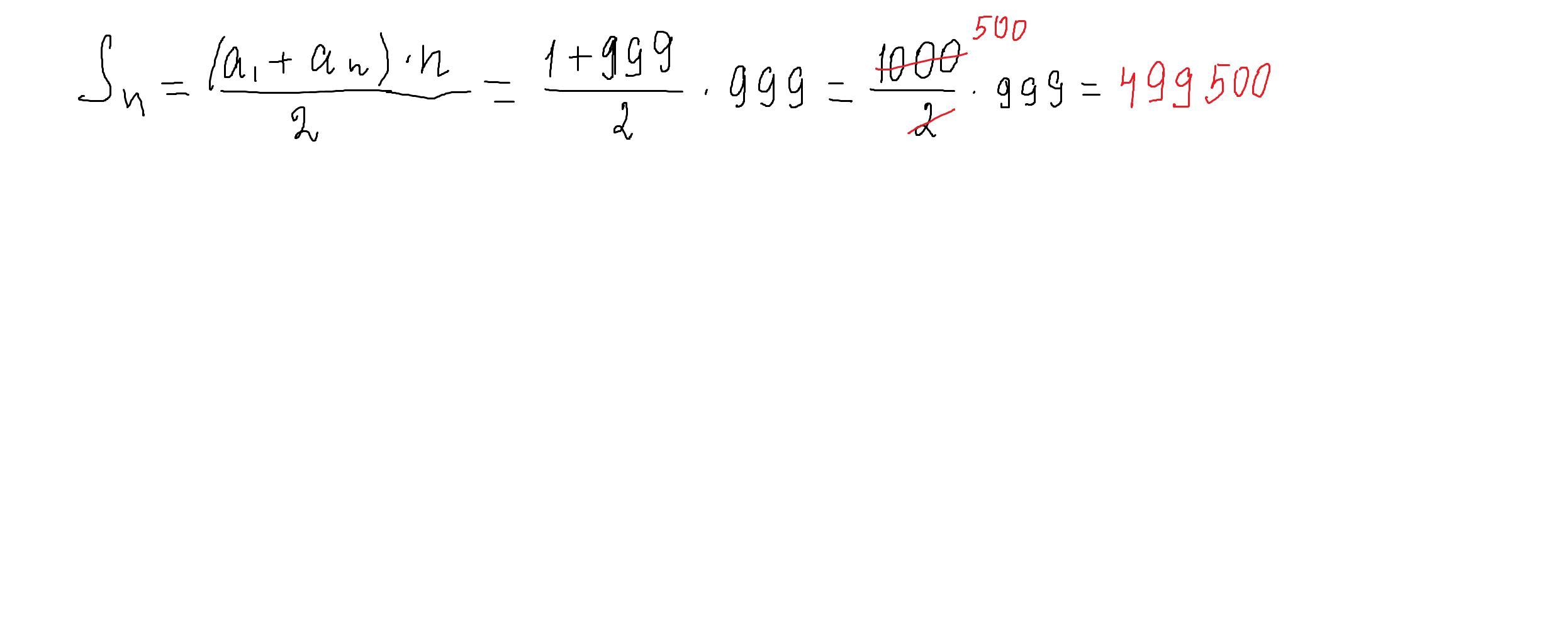
а если вы уже прошли арифметическую прогрессию,то тогда решение внизу
Приложения:

Вас заинтересует
2 года назад
2 года назад
2 года назад
2 года назад
7 лет назад
7 лет назад
9 лет назад