• Предмет: Алгебра
  • Автор: eugenijmarchenko
  • Вопрос задан 3 года назад

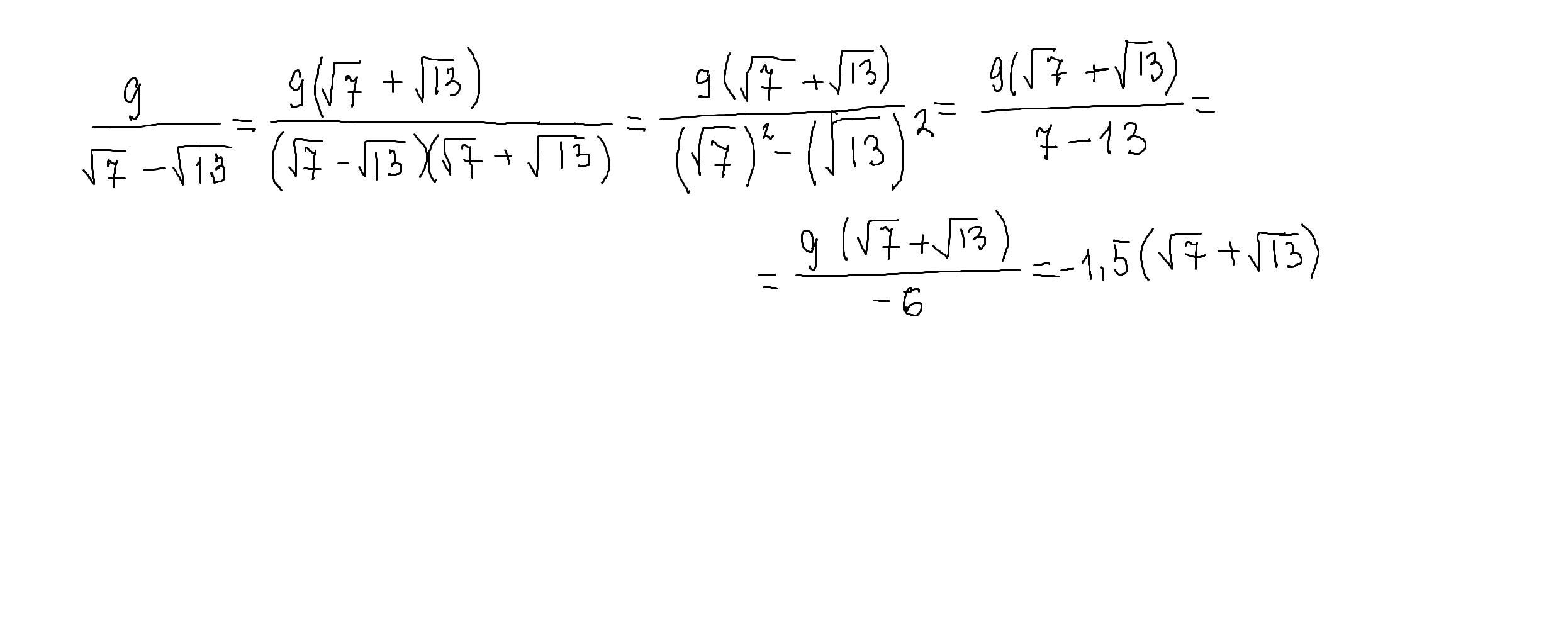
освободитесь от иррациональности в знаменателе дроби: 9 /√7-√13

Ответы

Ответ дал: Amigo3
1

Ответ: 9*(√7+√13)/(7-13)=-1,5*(√7+√13).

Объяснение:

Ответ дал: parus77
1

Ответ:

Объяснение:

решение внизу

Приложения:
Вас заинтересует