• Предмет: Математика
  • Автор: vka8133
  • Вопрос задан 3 года назад

помогите пожалуйста​

Приложения:

Ответы

Ответ дал: anutochka1221
0

Ответ:

7-⁴ 7-³ 7-² 7⁰ 7² 7²

Если число отрицательное то оно соответственно меньше положительного

Ответ дал: parus77
0

Ответ:

Пошаговое объяснение:

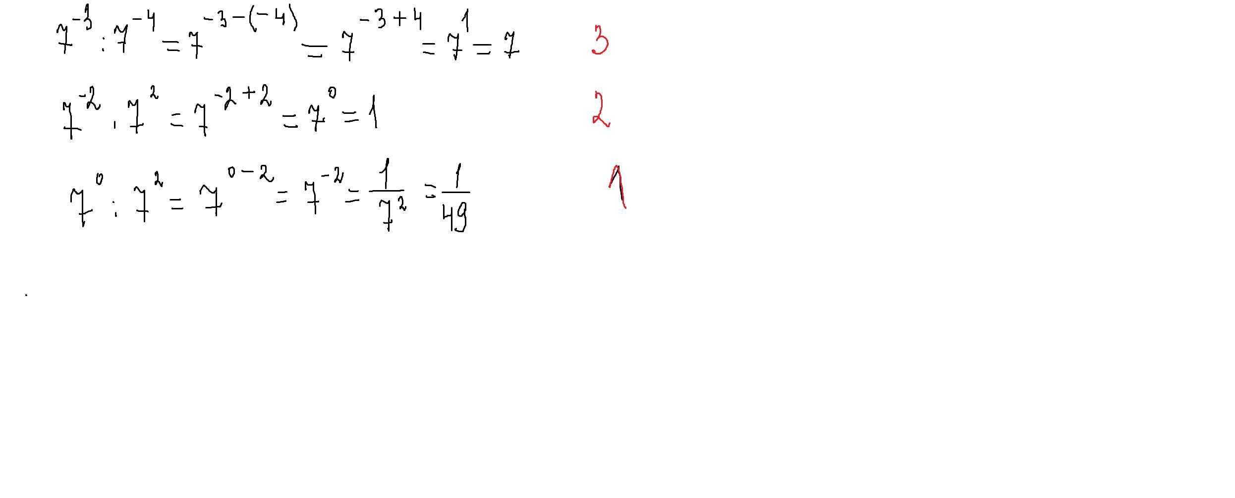
7⁰:7² ; 7⁻² * 7² ; 7⁻³: 7⁻⁴

Приложения:
Вас заинтересует