• Предмет: Алгебра
  • Автор: COOLliver
  • Вопрос задан 3 года назад

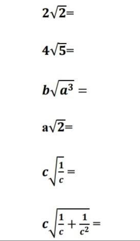
Вынесите множитель под знак корня:​

Приложения:

Ответы

Ответ дал: admiral16
1

Ответ:

2√2= √2²*2 = √8

4√5 = √ 4²*5 = √80

b√a³ = √b²*a³

a√2 = √a²*2

c√ 1/c = √c²*1/c

c√1/c + 1/c²= √c²*(1/c+q/c²)


COOLliver: Спасибо большое ❤
Вас заинтересует