• Предмет: Алгебра
  • Автор: viriya0312
  • Вопрос задан 3 года назад

помогите решить восьмой номер плиз​

Приложения:

Ответы

Ответ дал: katy770
0

Ответ:

Привет)

Решение во вложении, будут вопросы, задавай)

Если не сложно, отметь пожалуйста как лучший ответ))

Объяснение:

Приложения:

viriya0312: аа, прости, неудобно как-то, у меня появились ответы, и там ответ должен быть -2/3, как быть?
katy770: тааак сейчас посмотрю
katy770: вроде все правильно
katy770: "там ответ должен быть -2/3", точно?
viriya0312: да
viriya0312: а если там, где -6/3 должна быть восьмёрка?
parus77: почему у вас плюс 1.?
katy770: не заметила
katy770: исправила
Ответ дал: parus77
0

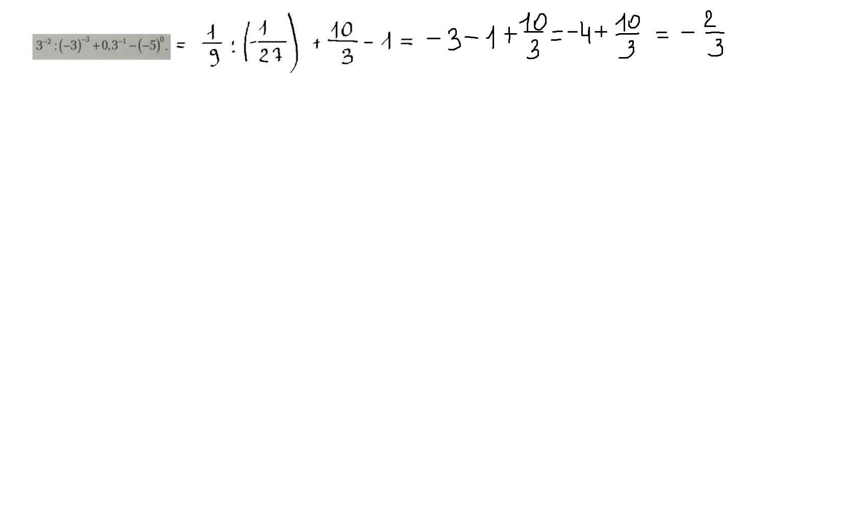
Ответ:

-2\3

Объяснение:

решение внизу

Приложения:
Вас заинтересует