Ответы
Ответ дал:
0
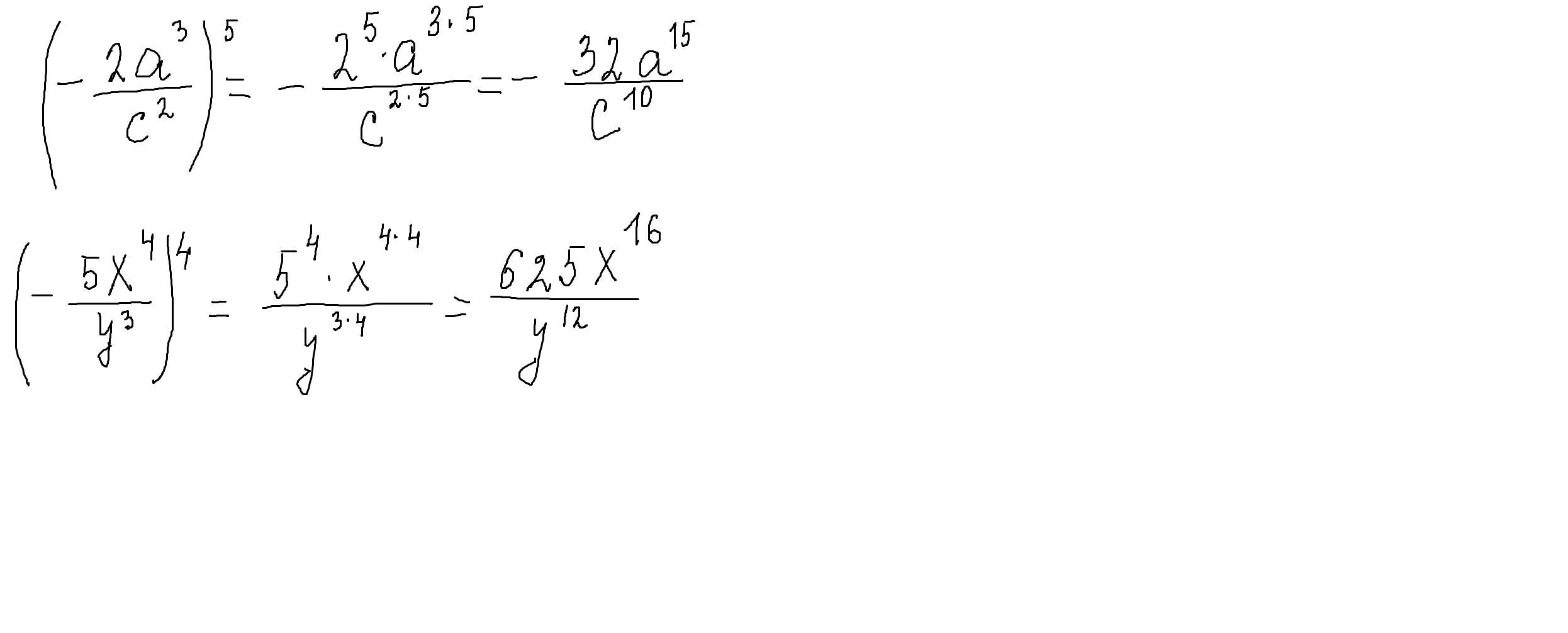
-2а^15/с^10
-5х^16/у^12
-5х^16/у^12
parus77:
забыли возвести в степень числа......
Ответ дал:
0
Ответ:
Объяснение:
в 1.4 показатель степени нечетный,поэтому "минус" сохраняется
в 1.5 показатель степени четный,поэтому получается знак "+"
Приложения:

Вас заинтересует
2 года назад
2 года назад
2 года назад
2 года назад
7 лет назад
9 лет назад