Решите пожалуйста, даю 80 баллов. Найти решение дифференциального уравнения: y''+2y'+y=e^-x/x Не через калькулятор и как можно подробнее.
Приложения:

Ответы
Ответ дал:
1
Ответ:
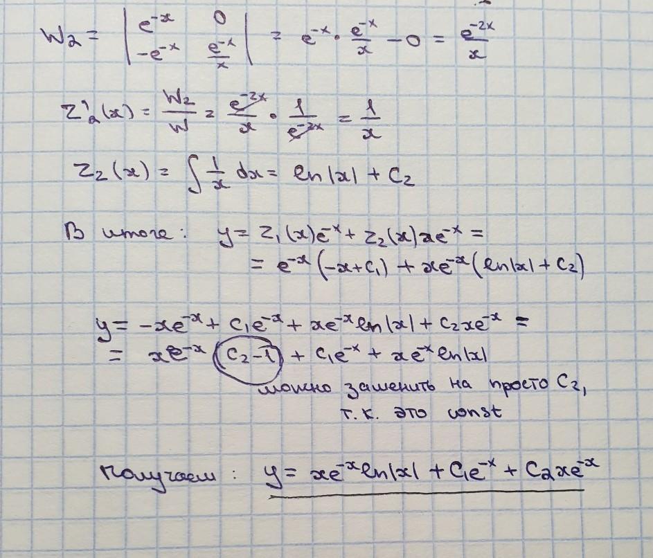
решение на фото
Объяснение:
В общем, обычно я решаю с подбором у~ (игрек тильда, p.s. как на прошлых решенных уравнениях), и с ними ничего сложного, но здесь так решить нельзя.
Пришлось браться за метод вариации произвольных постоянных, и я следовала инструкции. Вот что получилось.
-------------------------------------------------
Когда находим W1, вместо первого столбца подставляем 0 и f(x)=e^(-x)/x, второй столбец остаётся таким же (как в W)
Когда находим W2, все это подставляем вместо ВТОРОГО столбца, первый остаётся таким же (как в W1).
Если совсем непонятен ход решения, загляните на mathprofi.ru: "Метод вариации произвольных постоянных для неоднородного уравнения второго порядка", там должно быть понятнее.
Приложения:


vladgujjvan0:
Вы гений математики)
Вас заинтересует
2 года назад
2 года назад
7 лет назад
7 лет назад
9 лет назад