Ответы
Ответ дал:
1
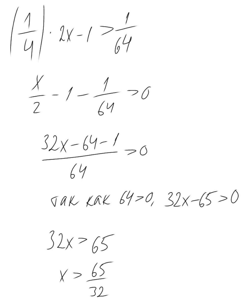
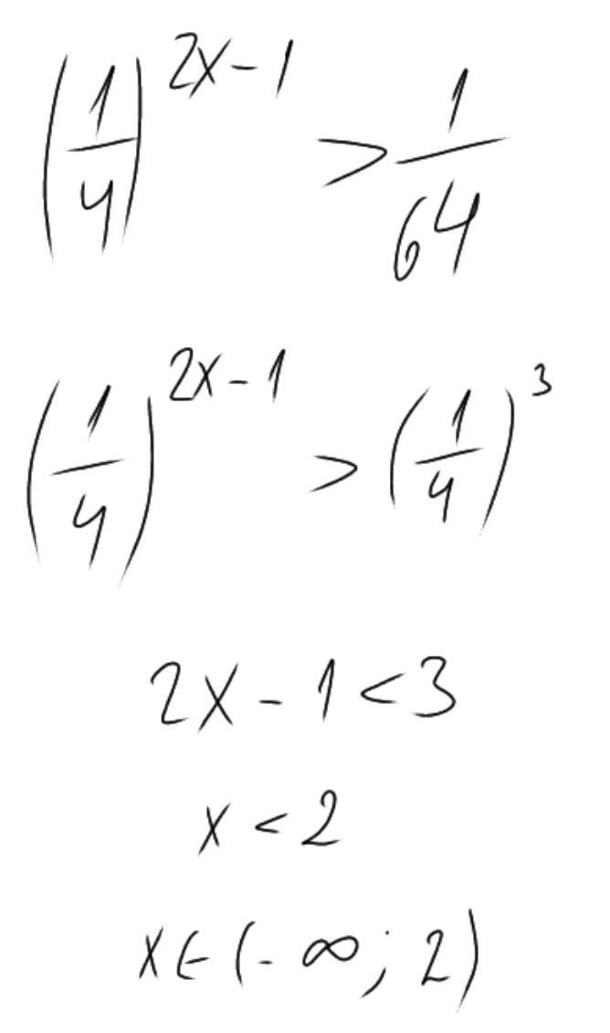
2х–1 это степень или это ¼ просто умножается на 2х?Вот тебе оба случая, в случае с умножением, пример бредовый, так что вероятно имелась в виду степень. Записывай условия понятнее, а то мне сейчас было не лень решить, но в другой раз я закрою задание и пойду дальше)). Если что, степень обозначай как "^"например, 2 в степени 3х-4 записывается как 2^(3х-4)
Приложения:


Вас заинтересует
2 года назад
2 года назад
2 года назад
7 лет назад
9 лет назад
9 лет назад