• Предмет: Математика
  • Автор: Аноним
  • Вопрос задан 3 года назад

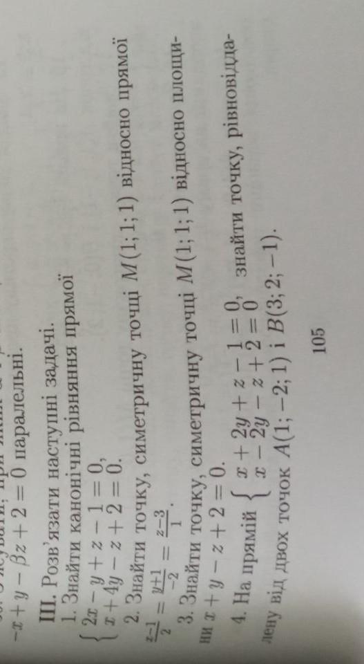
Друга вправа! 2.Знайти точку, симетричну точці М... ​

Приложения:

Ответы

Ответ дал: dnepr1
0

Найти точку М1, симметричную точке М(1; 1; 1) относительно прямой.

(x-1)/2=(y+1)/(-2)=(z-3)/1.

Найдем уравнение плоскости, перпендикулярной прямой:

2(x-1)-2(y-1)+1(z-1),

2x - 2 - 2y + 2 + z - 1 = 0.

2x - 2y + z - 1 = 0.

Найдем точку Mo пересечения прямой и плоскости с использованием параметрического уравнения.

(x-1)/2=(y+1)/(-2)=(z-3)/1⇒

{(x=2t+1,

{y=-2t-1,

{z=t+3.) Подставим в уравнение плоскости.

4t+2+4t+2+t+3-1=0,

9t+6=0,

t=-6/9 = -2/3.  Подставим эти значения в координаты точки пересечения с плоскостью.

{(x=2(-2/3)+1 = -1/3,

{y=-2(-2/3)-1 = 1/3,

{z=(-2/3)+3 = 7/3.

Mo=((-1/3); (1/3); (7/3))- координаты точки пересечения.

Отсюда,

x_Mo=(x_M+x_M1)/2⇒x_M1=2x_Mo-x_M=2*(-1/3)-1 = -5/3.

y_Mo=(y_M+y_M1)/2⇒y_M1=2y_Mo-y_M=2*(1/3)-1 = -1/3.

z_Mo=(z_M+z_M1)/2⇒z_M1=2z_Mo-z_M=2*(7/3)-1 = 11/3.

Следовательно, M_1 ((-5/3); (-1/3); (11/3)) - искомая точка.

Вас заинтересует