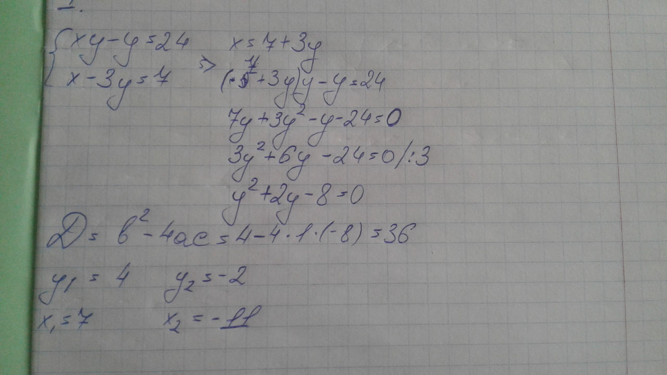
Решите систему уравнений
Xy-y=24
x-3y=7
Аноним:
привет, вы уже написали сор?
Ответы
Ответ дал:
38
Ответ:
Смотри на картинке
Объяснение:
Приложения:

Вас заинтересует
2 года назад
2 года назад
2 года назад
2 года назад
7 лет назад
7 лет назад
9 лет назад