• Предмет: Алгебра
  • Автор: ilnvm2008
  • Вопрос задан 3 года назад

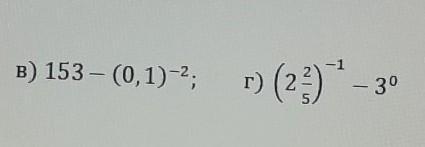
Вычисли А) 2 в степени минус 2 + 3 в степени минус 2 Б) 18 - 1/5 в степени -2 в 153 -0,1 в степени -2 Г) 2 2/5 в степени -1 -3 степени 0​

Приложения:

Ответы

Ответ дал: lizavito
1

Ответ:

Объяснение:

а)2 в степени минус 2 + 3 в степени минус 2=2⁻²+3⁻²=¹/₄+¹/₉=¹³/₃₆

Б) 18 - 1/5 в степени -2 =18-(¹/₅)⁻²=18-5²=18-25= -7

в) 153- (0,1)⁻²=153-100=53

г)(2²₅)⁻¹-3⁰=⁵/₁₂-1=-⁷/₁₂

Вас заинтересует