Ответы
Ответ дал:
2
Ответ:
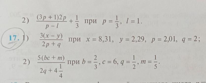
1) 3(8,31 - 2,29)= 24,93 - 6,87 = 18,06 = 3
2*2,01 + 2 4,02 + 2 6,02
Приложения:

Вас заинтересует
2 года назад
2 года назад
2 года назад
7 лет назад
7 лет назад