• Предмет: Алгебра
  • Автор: Tigeriza
  • Вопрос задан 3 года назад

СРОЧНО!
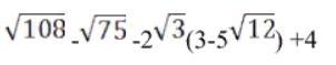
Преобразуйте выражение

Приложения:

Ответы

Ответ дал: mendybaevaaaa
1

Ответ:

✓108-✓75-2✓3(3-5✓12)+4

6✓3-5✓3-2✓3×(3-10✓3)+4

6✓3-5✓3-6✓3+60+4

-5✓3+64

Объяснение:

Там стрелки минусы?Если минусы то это так!!

Вас заинтересует