• Предмет: Математика
  • Автор: ufkfigjggufjgugoydjo
  • Вопрос задан 3 года назад

Можете помочь? пожалуйста ​

Приложения:

ldglkva: Спасибо!

Ответы

Ответ дал: ldglkva
2

Ответ:

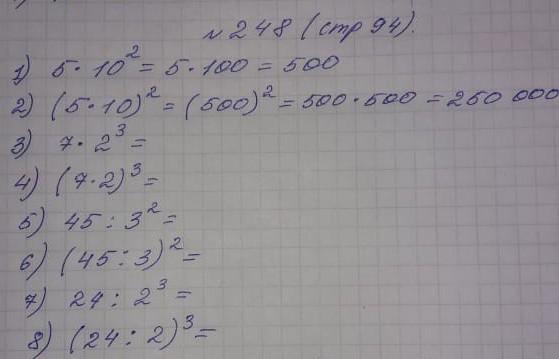
3) 7 * 2³ = 7 * 2*2*2 = 7 * 8 = 56

4) (7 * 2)³ = 7*7*7 * 2*2*2 =  7³ * 2³ = 343 * 8 = 2744

Или (7 * 2)³ = 14³ = 14 * 14 * 14 = 2744

5) 45 : 3² = 45 : (3*3) =  45 : 9 = 5

6) (45 : 3)² = 15² = 15 * 15 = 225

7) 24 : 2³ = 24 : (2*2*2) = 24 : 8 = 3

8) (24 : 2)³ = 12³ = 12*12*12 = 1728

Вас заинтересует