• Предмет: Алгебра
  • Автор: Аноним
  • Вопрос задан 3 года назад

Упростите выражение 7 класс​

Приложения:

Ответы

Ответ дал: rainbowprinces
1

Ответ:

Объяснение:

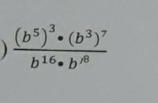
(b⁵)³×(b³)⁷/ b¹⁶×b¹⁸= b¹⁵×b²¹/b¹⁶×b¹⁸= b³⁶/b³⁴= b ²


Аноним: там снизу б8 а не 18
Вас заинтересует