Ответы
Ответ дал:
1
Ответ:
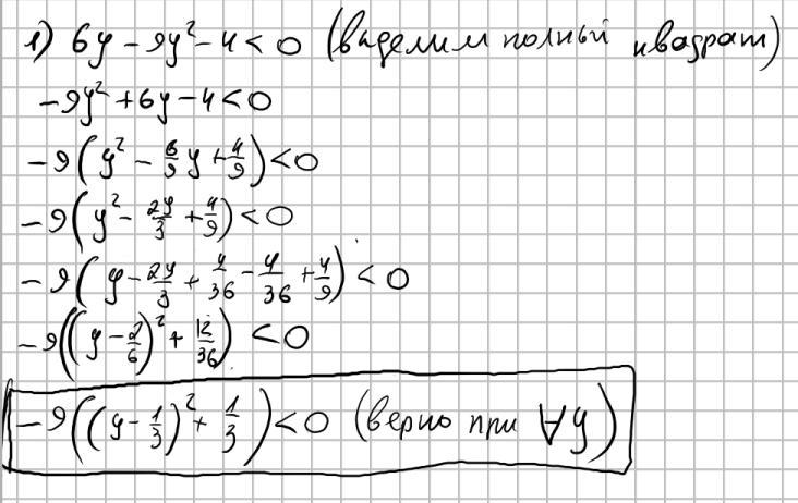
1) доказательство на фото
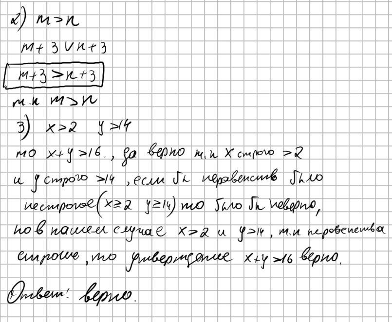
2) m+3>n+3
3) Верно
Объяснение:
На фото
Приложения:


Jleo4:
Спасибо большое, очень помогли!
Вас заинтересует
2 года назад
2 года назад
2 года назад
7 лет назад
7 лет назад