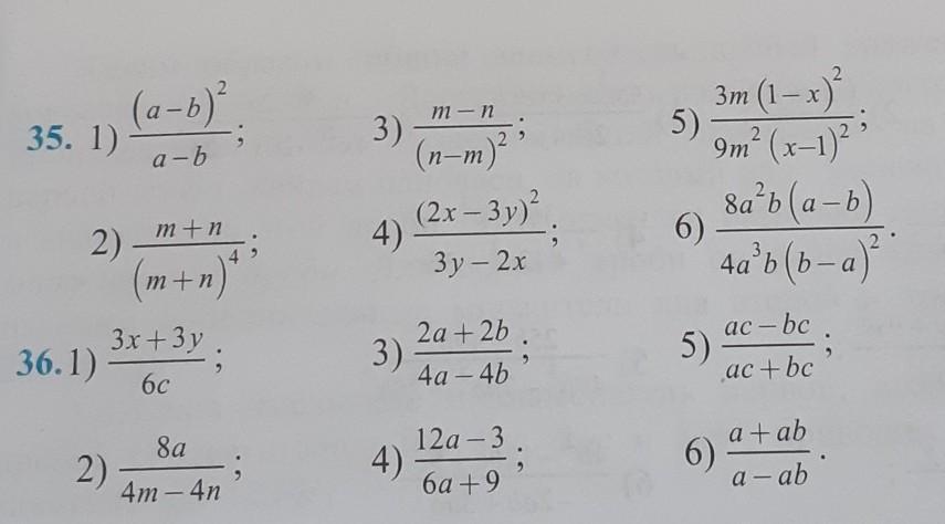
срочно помогите пожалуйста!!! сократить дроби, сделайте пж, поставлю максимальную оценку.
Приложения:

Ответы
Ответ дал:
1
Ответ:
Все на фото:)
Удачки
Приложения:

wman83904:
спасибо большое
Вас заинтересует
2 года назад
2 года назад
2 года назад
7 лет назад
9 лет назад