• Предмет: Алгебра
  • Автор: aliya712
  • Вопрос задан 3 года назад

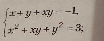
1Срочно решите систему уравнений​

Приложения:

Ответы

Ответ дал: Djust1k
1

Ответ:

x = -1; y = -1

Решение:

Разложим на множители первую строчку:

x(1+y)+y=-1; x(1+y)+1+y=0; (1+y)(x+1)=0 (если в произведении двух или нескольких множителей в ответе получается ноль, то один из множмтелей равен нулю), отсюда -

y=-1; x=-1

Подставим значения x и y во вторую строчку для проверки.

-1²+-1*-1+-1²=3; 1+1+1=3;


aliya712: объяснение?
Djust1k: написал
Вас заинтересует