СРОЧНО!!!!!!!!!!!!!!!!!!!!!!КАК РЕШИТЬ ВЫЧИСЛЕНИЕ ПРЕДЕЛА ФУНКЦИИ НА БЕСКОНЕЧНОСТИ????? ПОМОГИТЕ МНЕ, ПОЖАЛУЙСТА!!!!!!!!!!!!!!!!!!!!!!!!!!
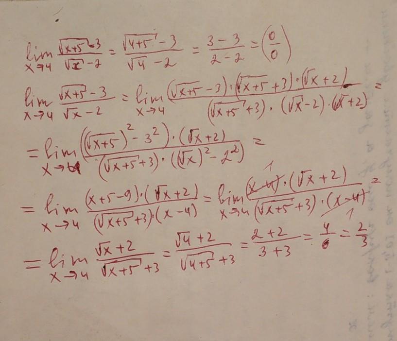
lim x стремится к 4
√x+5-3/√x-2
Ответы
Ответ дал:
1
Ответ:
= 2/3
Пошаговое объяснение:
решение во вложении
Приложения:

Вас заинтересует
2 года назад
2 года назад
2 года назад
7 лет назад
9 лет назад