• Предмет: Алгебра
  • Автор: solomatindima2004
  • Вопрос задан 3 года назад

Даю 50 балов за вычисление

Приложения:

alinatueva0: Не даешь ты 50 баллов)

Ответы

Ответ дал: parus77
1

Ответ:

Объяснение:

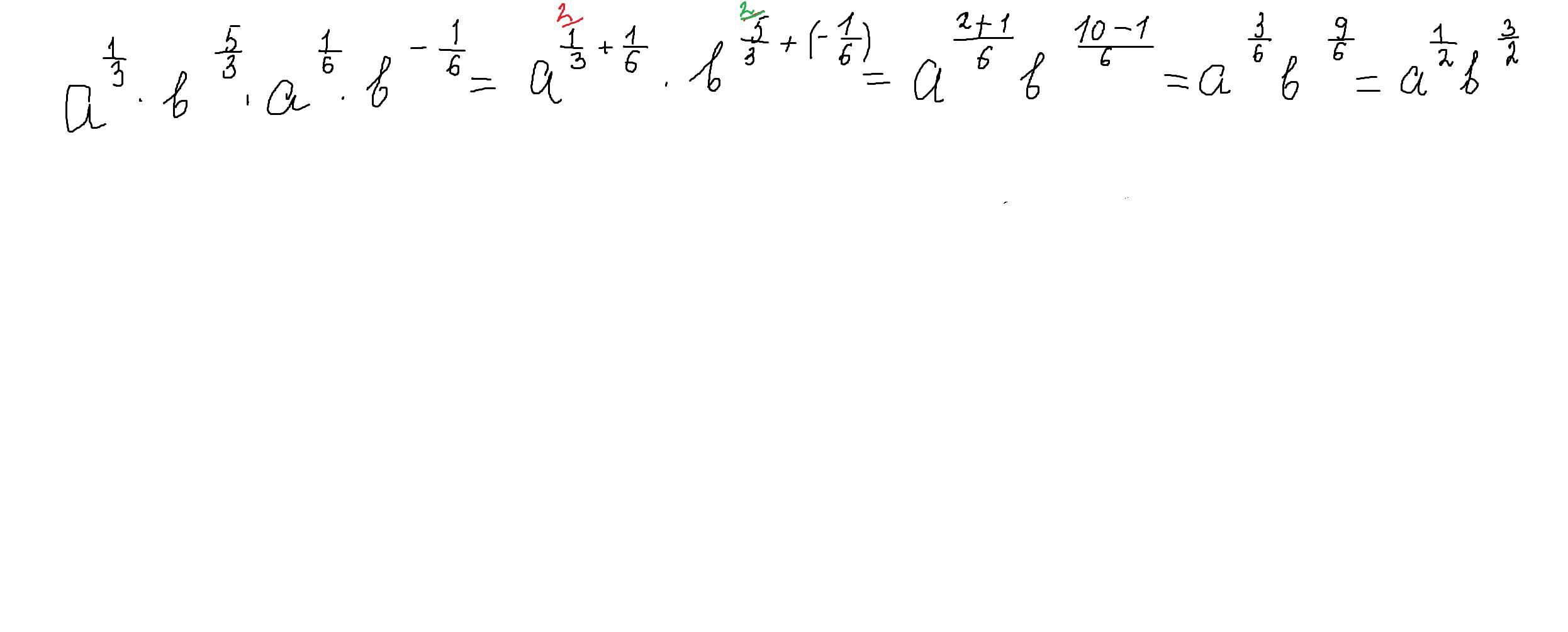
решение внизу -при умножении степеней с одинаковым основанием показатели складываются

Приложения:
Вас заинтересует