• Предмет: Алгебра
  • Автор: dovbnyadanya
  • Вопрос задан 3 года назад

срочно алгебра фаст 30 баллов

Приложения:

Ответы

Ответ дал: aida260126
0

Ответ:

Объяснение:ййййййййййййййййййййййййййййййййййййй

Приложения:
Ответ дал: Ляляляля109
1

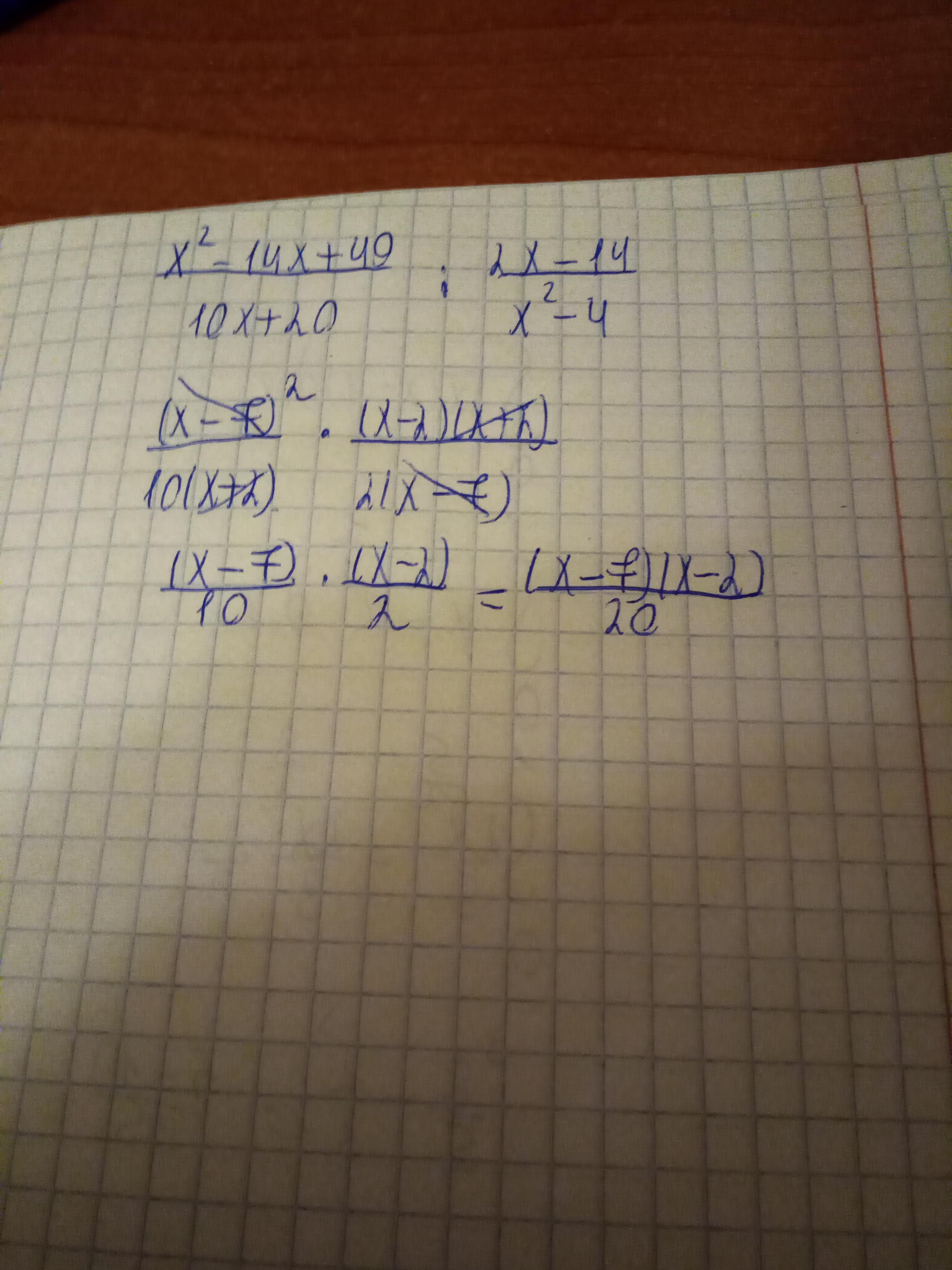
\frac{x^{2}-14x+49}{10x+20} :\frac{2x-14}{x^{2}-4} =\frac{(x-7)^{2}}{10(x+2)} :\frac{2(x-7)}{(x-2)(x+2)} =\frac{(x-7)^{2}(x-2)(x+2)}{20(x+2)(x-7)} =\frac{(x-7)(x-2)}{20} =\\\\=\frac{x^{2}-9x+14}{20}

Варианты ответа: 2, 4

Вас заинтересует