• Предмет: Алгебра
  • Автор: sabosabogul
  • Вопрос задан 3 года назад

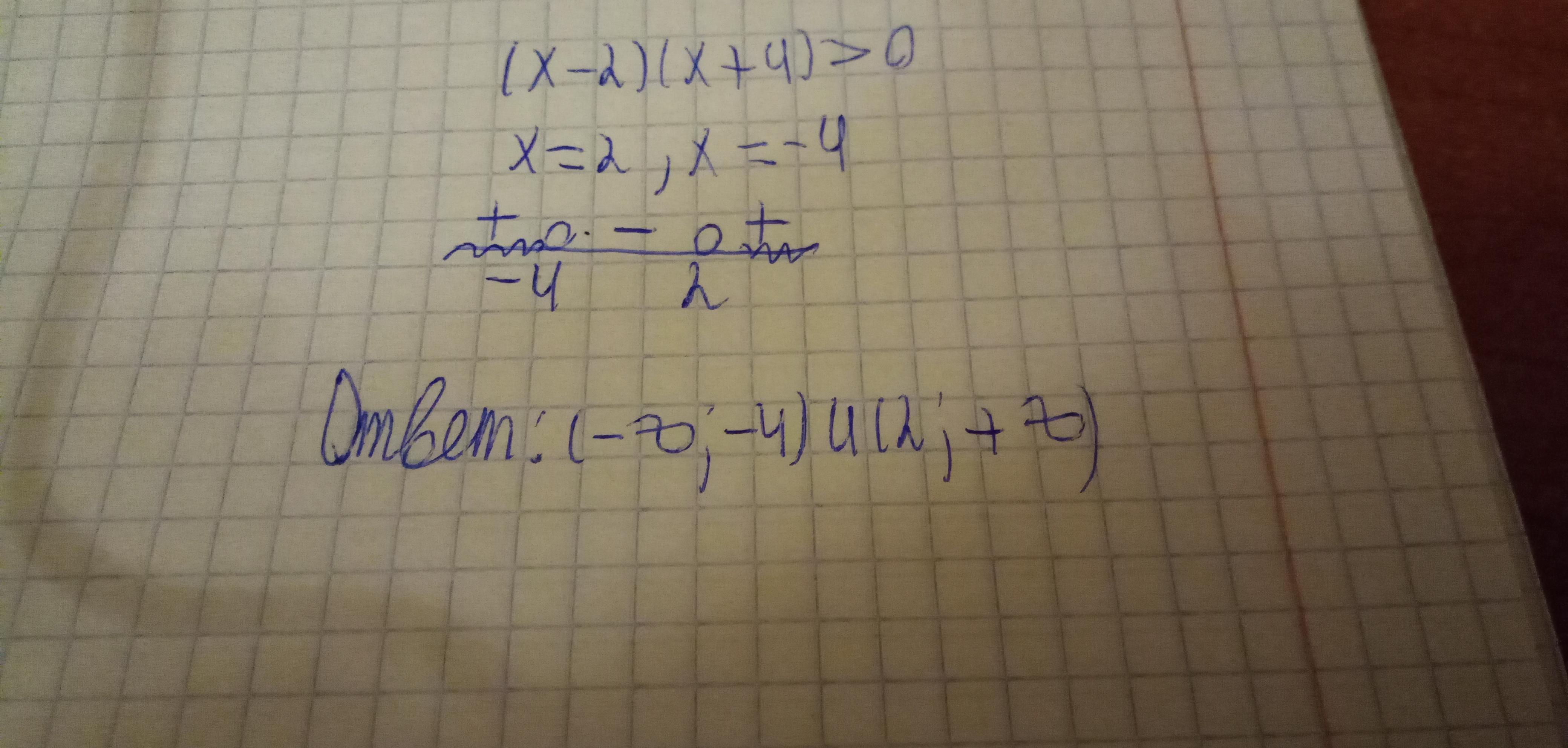
Решите неравенство
(x-2)×(x+4)>0

Ответы

Ответ дал: aida260126
0

Ответ:

Объяснение:

Йййййййййййййййййййфффйффйййййййййййй

Приложения:
Ответ дал: Amigo3
0

Ответ: оба множителя должны быть одного знака. Когда оба положительны х1-2>0⇒х1>2, x1+4>0⇒x1>-4⇒x1>2

Оба отрицательны х2-2<0⇒х2<2, x2+4<0⇒x2<-4⇒x2<-4.

Объяснение:

Вас заинтересует