Ответы
Ответ дал:
1
Ответ:
Объяснение:
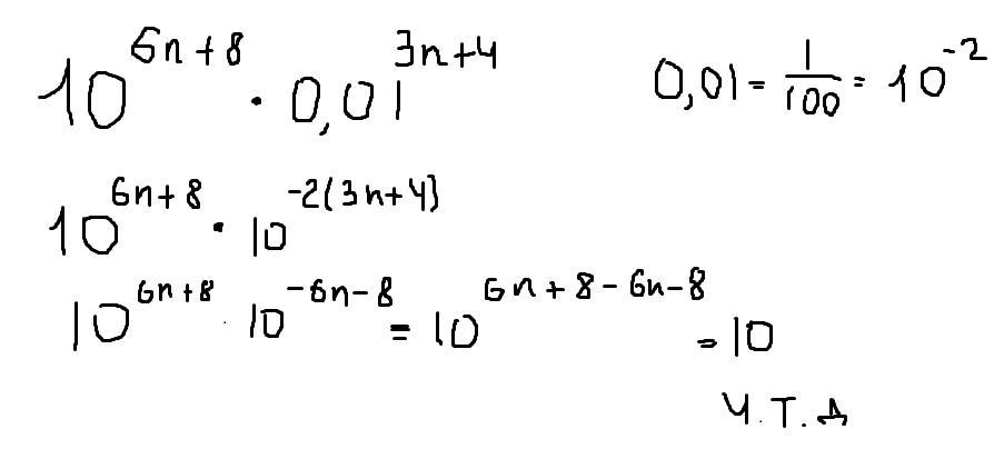
См. фото.
Заранее извиняюсь, если непонятен почерк
Приложения:

angelistar0136:
спасибо большое
Вас заинтересует
2 года назад
2 года назад
2 года назад
7 лет назад
7 лет назад