Ответы
Ответ дал:
2
Ответ:
Объяснение:
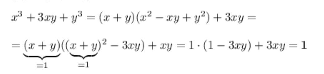
...........................
Приложения:

aminachzhan:
Спасибо большое !)
Вас заинтересует
2 года назад
2 года назад
7 лет назад
7 лет назад
9 лет назад