Ответы
Ответ дал:
0
Объяснение:
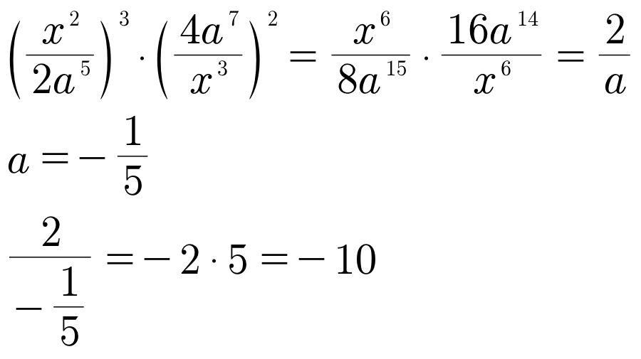
карочк здесь нужно выражение сократить получится 2/а дробью ну и подставить -⅕ и получается -10
Ответ дал:
0
Ответ:
Объяснение:
................................
Приложения:

Вас заинтересует
2 года назад
2 года назад
2 года назад
7 лет назад
7 лет назад
9 лет назад