Ответы
Ответ дал:
1
zamakaevermek:
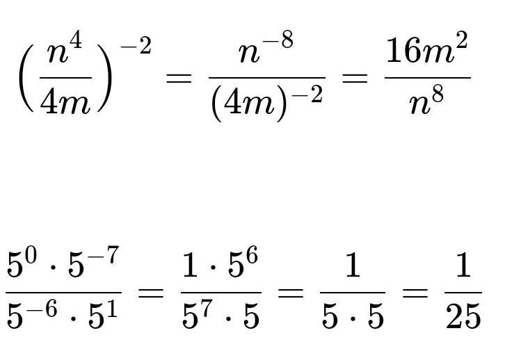
а это правильно?
Ответ дал:
0
Объяснение:
ПОДПИШИСЬ НА МЕНЯ?!?!?!?!?!
Приложения:

Вас заинтересует
2 года назад
2 года назад
2 года назад
2 года назад
7 лет назад
9 лет назад
9 лет назад