Ответы
Ответ дал:
1
вот)) надеюсь помогла))
Приложения:

shishkanowmaks59:
спасибо
Ответ дал:
1
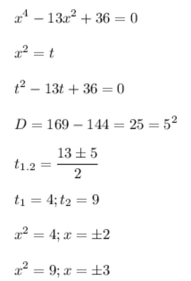
Ответ:
решение на фотографии
Приложения:

Вас заинтересует
2 года назад
2 года назад
2 года назад
7 лет назад