• Предмет: Математика
  • Автор: alim77787je
  • Вопрос задан 3 года назад

Упростите: с²⁸× с¹⁵: (с⁴¹× с)=​

Ответы

Ответ дал: lizapanzova2005
3

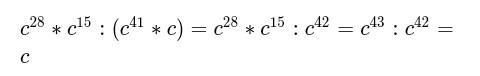
Ответ:

c

Пошаговое объяснение:

c^{28}*c^{15}:(c^{41}*c) = c^{28}*c^{15}:c^{42} = c^{43}:c^{42} = c

Ответ дал: kangelina888
1

Ответ:

Ответ с

Пошаговое объяснение:

Вроде правильно

Приложения:
Вас заинтересует