• Предмет: Алгебра
  • Автор: indinur2005
  • Вопрос задан 3 года назад

20 БАЛЛОВ!!! СРОЧНО​

Приложения:

Ответы

Ответ дал: unusuallikeyo
2

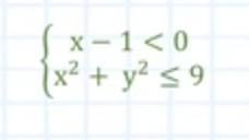
x-1<0

x^2+y^2=9

x^2-9=-y^2

(x+3)(x-3)=-y^2

Очевидно, что x+3>0, иначе (x+3)(x-3) неотрицательно т.к. по условию x-1 <0 => x-3<0 ,а -y^2 неположительно.

x+3>0

x-1<0

-3<x<1

y = корень из (-(x+3)(x-3))

Вас заинтересует