• Предмет: Алгебра
  • Автор: vsh73
  • Вопрос задан 3 года назад

Помогите пожалуйста............... дам 20 баллов

Приложения:

Ответы

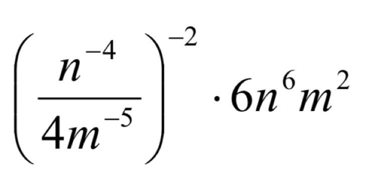
Ответ дал: marinaa120
1

Ответ:

96n¹⁴/m⁸

.............

Приложения:
Вас заинтересует