• Предмет: Алгебра
  • Автор: ceeekola
  • Вопрос задан 3 года назад

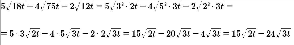
АЛГЕБРА 8 КЛАСС ДАЮ 100 БАЛЛОВ РАСПИСАТЬ ОТВЕТ

Приложения:

Ответы

Ответ дал: tamarabernukho
1

Ответ:

Объяснение:

...................................................

Приложения:
Ответ дал: vityamath
1

Объяснение:

Решение на фотографии......

Приложения:
Вас заинтересует