Ответы
Ответ дал:
1
Ответ:
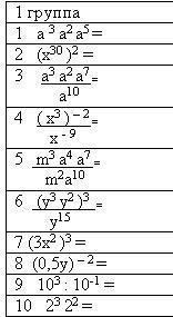
1)а в 10 степени
2)х в 60
3)а во 2
4)1/а в 3
5)ма
6)1
7)27х в 6
8)4у в -2
9)10 в 4
10)2 в 5
Объяснение:
Ответ дал:
1
Ответ:
а10
х60
а2
х3
ma
y15
27x6
4y2
10 4
2 5
Приложения:

Вас заинтересует
2 года назад
2 года назад
2 года назад
7 лет назад