• Предмет: Алгебра
  • Автор: alisaurova7
  • Вопрос задан 3 года назад

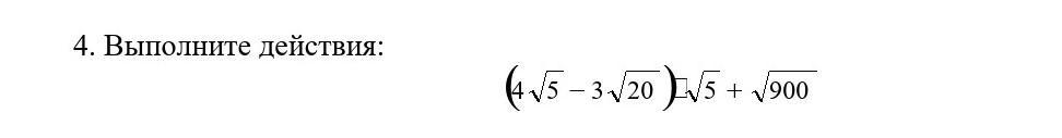
СРРОЧНО ПЖЖЖЖЖЖ СОР​

Приложения:

Ответы

Ответ дал: ymnichka3643m
0

Данный ответ представлен фотографией.

Приложения:
Вас заинтересует