Ответы
Ответ дал:
1
Ответ:
Объяснение:
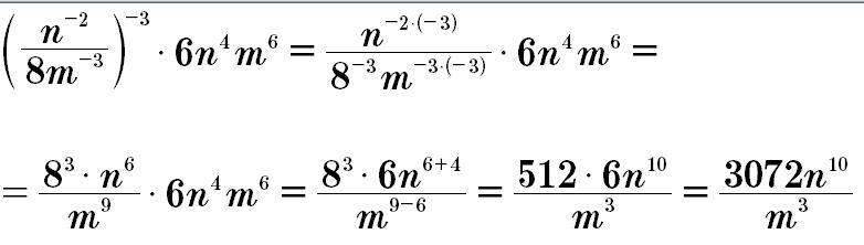
3072n^10/m^3
mabsik:
а можно развернуто?
Ответ дал:
2
Ответ:
Объяснение:
.................................................
Приложения:

Вас заинтересует
2 года назад
2 года назад
2 года назад
7 лет назад